串聯諧振耐壓設備根據試驗要求的選擇方法
諧振式耐壓設備的選擇:
般試品為容性,所以選配電抗器達到諧振目的。
1)電壓的選擇:
根據試品對試驗電壓的要求,選擇電抗器、分壓器的額定電壓,電抗器、分壓器的額定電壓要高于試驗電壓。2)電流和電感的選擇:
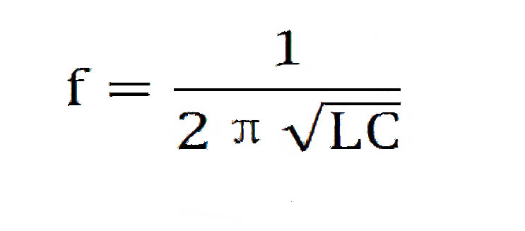
首先應確定試品對試驗頻率的要求,例如50Hz、45~65Hz或30~300Hz等,其次應確定試品的電容,試品電容可用電橋測出,也可在被試品上施加工頻低壓,根據測得的電壓和電流(感抗和電阻的影響忽略不計)來估算。根據下列公式計算出所需電感大小。
頻率計算公式:
根據上面的公式可以計算出所需電感(范圍) 根據I=wCU 可以計算出試驗電流。選擇電壓、電感、電流均符合要求的電抗器。
在試驗變壓器低壓側測量:對寸于一般瓷質絕緣、斷路器絕緣工具等,可測區試驗變壓器低壓側的電壓,再通過便比換算至高壓側電壓這只適合與符合容量比電源容量小得多,測量準確度要求不高的情況。
用電壓互感器測量:將電壓互感器的一次側并接在被試品的兩端,在其二次側測量電壓,根據測得的電壓和電壓互感器的變比計算出計算出高壓側的電壓。為保證測量的準確度,電壓互感:器準確度一般不低于1級,電壓表不低于0.5級。
用電容分壓器測量:用電容分壓器測量高壓電壓時最常用的方法。分壓器結構簡單,精度高,有的分壓器具有可選擇峰值讀數和有效值讀數的選擇鍵,適合與現場和試驗時等各種場合使用。如高壓臂電容器為C1,低壓電容臂為C2,串聯組成那么此分壓器的分壓比為(C1+C2)/C1。
對于絕緣良好的被試品,在交流耐壓中不應擊穿,一般情況下電流突然上升,說明被試品擊穿。
被試品發出擊穿響聲、冒煙、出氣、焦糊、閃絡、燃燒等都應查明原因,如確定時絕緣部分引起的,則認為被試品缺陷或擊穿。被試品為有機絕緣材料時,試驗后應立即觸摸,如出現普遍或局部發熱,則認為絕緣不良,應及時處理,處理后在做試驗。
對夾層絕緣胡有機絕緣材料的設備,如果耐壓后絕緣電阻比試驗前下降30%,則檢查該試品是否合格。
在試驗過程中,若由于空氣濕度、溫度、表面臟污等影響,引起被試品表面滑閃或空氣放電,不應該認為試品內部絕緣不合格,需經清潔、干燥處理后,再進行試驗。
升壓必須從零開始,不可沖擊合閘。升壓速度在40%試驗電壓以內可不受限制,其后應均勻升壓速度約為每秒3%的試驗電壓耐壓試驗前后均應測量被試品的絕緣電阻。- 上一篇: SF6氣體露點檢測儀現場測量使用方法
- 下一篇: 串聯諧振試驗裝置電纜交流耐壓試驗方案







