沖擊電壓發生器沖擊試驗工作原理圖
沖擊電壓試驗是電力設備高壓試驗的基本項目之一,電力設備在設計、制造及修繕之后都要求進行沖擊試驗以驗證或檢驗。常見的電力設備包括電力變壓器、電力互感器、高壓開關、組合電器、避雷器、電力電纜及附件、套管及絕緣子等都要進行沖擊試驗。沖擊電壓試驗也是高壓試驗研究的基本項目之一,在進行絕緣配合研究、電磁兼容研究及放電機理研究等許多方面都需要進行沖擊電壓試驗。
沖擊電壓發生器沖擊電壓試驗的原理及沖擊試驗程序,沖擊電壓是單次瞬態過程,因此沖擊電壓試驗對電壓幅值、電壓波形及電壓次數三個試驗量有不同的要求。
1、電壓幅值:
對于不同的試品和不同的試驗要求,應該施加相應的沖擊電壓幅值。通過控制沖擊電壓發生器的充電電壓可以調節沖擊電壓的幅值,這是容易理解的。需要注意的是,沖擊電壓幅值與充電電壓之間的對應關系為:
UP = UC * n * η
UP :沖擊電壓幅值
UC:沖擊電壓發生器充電電壓(每級)
n :沖擊電壓發生器使用的級數
η:沖擊電壓發生器的效率
2、電壓波形:
沖擊電壓發生器沖擊電壓試驗常用到的波形有標準雷電沖擊波形、 波尾截斷的標準雷電沖擊波形、標準操作沖擊波形、陡波波形及其他特殊要求的波形。對于波形參數的定義可參考GB/T16927《高電壓試驗技術》的規定。
這里需要特別提出的是,沖擊電壓試驗回路的輸出波形與試品、試驗設備的部件接入及周圍接地體的距離都有密切關系,因此沖擊試驗的難點及大部分工作也就是調波工作。能否獲得滿足標準要求的沖擊波形是沖擊試驗的關鍵。
通常指的波形調節就是調節沖擊波形的波頭時間和波尾時間,對于截波試驗還要求調節截斷時間,對于陡波試驗則要求調節波形的陡度。
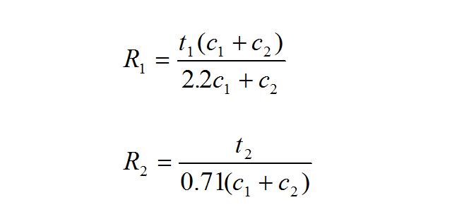
以電容負載為例說明調波的步驟:
初選調波電阻值:
要得到所需的沖擊波形,需調節波頭、波尾電阻,因影響因素很多,其阻值難于事前確定,可用下式初定選取:
式中:R1—波頭電阻阻值kW,R2—波尾電阻值W,C1—本體沖擊電容mF,C2—負荷電容mF,包括試品入口電容,沖擊分壓器電容、各寄生電容,t1—沖擊波頭時間ms,t2—沖擊波尾時間ms。
調節沖擊波形、確定效率:
接入初選的調波電阻、被試品、沖擊分壓器,用發生器產生約0.6倍試驗電壓值的沖擊電壓,調節電阻使沖擊波形達到要求。用示波器拍攝波形,求得效率,確定正式試驗時的充電電壓值。
實際上,對于不同的被試品,特別是小電感負載,沖擊電壓發生器的調波非常復雜,可能需要改變沖擊電壓發生器本體的連接方式,采用多級并聯再串聯等連線方式。因此需要在實際使用中積累經驗。
3、電壓次數:
在確定了電壓幅值和電壓波形后,剩下的工作就是要根據需要確定施加電壓的次數。應該注意的是,沖擊電壓發生器沖擊電壓波形有正負極性,應該明確各極性下的加壓次數。還應該考慮每次施加電壓的間隔時間。
- 上一篇: 變壓器綜合測試儀測試精度等指標
- 下一篇: 變壓器繞組變形測試儀主要技術參數













